x

Subject - Mathematics:

General

MCQ - 233-8965

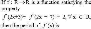
Question:

6 -79700736

  1. 2
  2. 4
  3. 8
  4. 4

Correct Answer: B

Explanation:

Not Required

Record Performance

504 MCQ for effective preparation of the test of General of Mathematics section.

Read the MCQ statement: , keenly and apply the method you have learn through the video lessons for General to give the answer. Record your answer and check its correct answer and video explanation for MCQ No. 233-8965.

How to Answer

Solve the question for MCQ No. and decide which option (A through D/E) is the best choice to answer the MCQ, then click/tap the blue button to view the correct answer and it explanation.

Share This Page