x

Subject - Mathematics:

General

MCQ - 352-9084

Question:

The pair of linear equations 6x - 3y + 10 = 0, 2x - y + 9 = 0 has

  1. one solution
  2. two solutions
  3. many solutions
  4. two solutions

Correct Answer: D

Explanation:

Comparing the equation with the set of equations
a1x + b1y + c1 = 0 and a2x + b2y + c2 = 0
we have,
a1= 6, a2 = 2
b1 = -3, b2 = -1
c1 = 10, c2 = 9
and we have,

19 -86319280
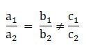
So, we have
20 -69887640
and in this case, we know that equations have no solution.

Record Performance

504 MCQ for effective preparation of the test of General of Mathematics section.

Read the MCQ statement: The pair of linear equations 6x - 3y + 10 = 0, 2x - y + 9 = 0 has , keenly and apply the method you have learn through the video lessons for General to give the answer. Record your answer and check its correct answer and video explanation for MCQ No. 352-9084.

How to Answer

Solve the question for MCQ No. and decide which option (A through D/E) is the best choice to answer the MCQ, then click/tap the blue button to view the correct answer and it explanation.

Share This Page