x

Subject - Mathematics:

General

MCQ - 358-9090

Question:

If α and β are the zeros of the polynomial 2x2 + x - 6, then form a quadratic equation whose zeros are 2α and 2β.

  1. 12
  2. 15
  3. 18
  4. 15

Correct Answer: A

Explanation:

We know that, for a quadratic equation ax2+ box + c
Sum of zeroes

31 -94280000
Product of zeroes
32 -93615400
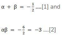
Given equation = 2x2 + x - 6 and zeroes are α and β
Therefore,
30 -79064616
Now, any quadratic equation having α and β as zeroes will have the form
p(x) = x2 - (α + β)x + αβ
⇒ equation having α and β as zeroes will have the form p(x) = x2 - (2α + 2β)x + (2α)(2β)
⇒ p(x) = x2 - 2(α + β)x + 4αβ
From [1] and [2]
29 -43102704
Hence required equation is x2 + x - 12.

Record Performance

504 MCQ for effective preparation of the test of General of Mathematics section.

Read the MCQ statement: If α and β are the zeros of the polynomial 2x2 + x - 6, then form a quadratic equation whose zeros are 2α and 2β., keenly and apply the method you have learn through the video lessons for General to give the answer. Record your answer and check its correct answer and video explanation for MCQ No. 358-9090.

How to Answer

Solve the question for MCQ No. and decide which option (A through D/E) is the best choice to answer the MCQ, then click/tap the blue button to view the correct answer and it explanation.

Share This Page