x

Subject - Mathematics:

General

MCQ - 396-9128

Question:

In the adjoining figure, the area enclosed between two concentric circles is 770 cm2 and the radius of the outer circle is 21 cm. Find the radius of the inner circle.

  1. 24cm
  2. 15cm
  3. 14cm
  4. 15cm

Correct Answer: C

Explanation:

21 -92337728

Given,
Outer radius of circle, R = 21 cm
Area of enclosed region = 770 cm2
Let the radius of inner circle be r.
Area of enclosed region = Area of outer circle – Area of inner circle
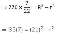
⇒ 770 = πR2– πr2

22 -73222872
⇒ 35(7) = (21)2 – r2
⇒ r2 = 441 – 245
⇒ r2 = 196
⇒ r = 14 cm

Record Performance

504 MCQ for effective preparation of the test of General of Mathematics section.

Read the MCQ statement: In the adjoining figure, the area enclosed between two concentric circles is 770 cm2 and the radius of the outer circle is 21 cm. Find the radius of the inner circle., keenly and apply the method you have learn through the video lessons for General to give the answer. Record your answer and check its correct answer and video explanation for MCQ No. 396-9128.

How to Answer

Solve the question for MCQ No. and decide which option (A through D/E) is the best choice to answer the MCQ, then click/tap the blue button to view the correct answer and it explanation.

Share This Page