x

Subject - Mathematics:

Coordinate Geometry

MCQ - 458-9190

Question:

The point on x-axis which is equidistant from points A(-1, 0) and B(5, 0) is

  1. (0, 2)
  2. (2, 0)
  3. (3, 0)
  4. (2, 0)

Correct Answer: B

Explanation:

⇒ For the point to be equidistant, the point has to be the midpoint of the line joining the points A and B.
⇒ If P(x, y) is the midpoint of the line joining AB then By Midpoint Formula we have,

3 Dup 1 -11894364
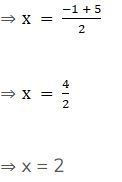
Finding x co-ordinate of midpoint:
4 Dup 1 -57075684
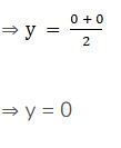
Finding y- co-ordinate of midpoint:
5 Dup 1 -85466528
Therefore the point which is equidistant from A and B is P(2,0).

Record Performance

504 MCQ for effective preparation of the test of Coordinate Geometry of Mathematics section.

Read the MCQ statement: The point on x-axis which is equidistant from points A(-1, 0) and B(5, 0) is , keenly and apply the method you have learn through the video lessons for Coordinate Geometry to give the answer. Record your answer and check its correct answer and video explanation for MCQ No. 458-9190.

How to Answer

Solve the question for MCQ No. and decide which option (A through D/E) is the best choice to answer the MCQ, then click/tap the blue button to view the correct answer and it explanation.

Share This Page