x

Subject - Mathematics:

Quadratic Equations

MCQ - 473-9205

Question:

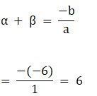
The sum of the roots of the equation x2 – 6x + 2 = 0 is

  1. 2
  2. - 2
  3. 6
  4. - 2

Correct Answer: C

Explanation:

For the equation

33 Dup 1 -61573300
34 -97904136
comparing with general equation
35 Dup 1 -29220210
36 -78193848

Record Performance

504 MCQ for effective preparation of the test of Quadratic Equations of Mathematics section.

Read the MCQ statement: The sum of the roots of the equation x2 – 6x + 2 = 0 is, keenly and apply the method you have learn through the video lessons for Quadratic Equations to give the answer. Record your answer and check its correct answer and video explanation for MCQ No. 473-9205.

How to Answer

Solve the question for MCQ No. and decide which option (A through D/E) is the best choice to answer the MCQ, then click/tap the blue button to view the correct answer and it explanation.

Share This Page