x

Subject - Mathematics:

General

MCQ - 369-9101

Question:

Find the mean of the following frequency distribution, using step deviation method:

20 Dup 1 -30528106

  1. 20
  2. 28
  3. 22
  4. 28

Correct Answer: D

Explanation:

21 Dup 3 -67417752
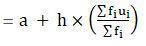
h (Represents the class width) = 10 a (Assumed mean) = 25 So Mean according to Step Deviation method: Mean
22 Dup 1 -64977704
23 Dup 1 -76692000
Mean = 25

Record Performance

504 MCQ for effective preparation of the test of General of Mathematics section.

Read the MCQ statement: Find the mean of the following frequency distribution, using step deviation method: , keenly and apply the method you have learn through the video lessons for General to give the answer. Record your answer and check its correct answer and video explanation for MCQ No. 369-9101.

How to Answer

Solve the question for MCQ No. and decide which option (A through D/E) is the best choice to answer the MCQ, then click/tap the blue button to view the correct answer and it explanation.

Share This Page