x

Subject - Mathematics:

General

MCQ - 370-9102

Question:

The table given below shows the daily expenditure on food of 30 households in a locality:

24 Dup 1 -80906520
Find the mean and median of daily expenditure on food.

  1. 90.0
  2. 208.33
  3. 100.5
  4. 208.33

Correct Answer: B

Explanation:

25 Dup 1 -61624840
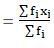
According to the direct method Mean
26 Dup 1 -88742080
⇒ Mean
27 Dup 1 -12313859
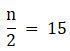
⇒ Mean = 205 Total frequency(n) = 30
28 Dup 1 -24442222
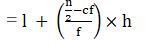
15 lies in the interval 200-250 so l (lower limit) = 200 cf(Cumulative frequency of the preceding class 200-250) = 13 f (frequency of median class) = 12 h (class size) = 50 Median
29 Dup 1 -44940540
Median
30 Dup 1 -77881888
Median = 208.33

Record Performance

504 MCQ for effective preparation of the test of General of Mathematics section.

Read the MCQ statement: The table given below shows the daily expenditure on food of 30 households in a locality: Find the mean and median of daily expenditure on food., keenly and apply the method you have learn through the video lessons for General to give the answer. Record your answer and check its correct answer and video explanation for MCQ No. 370-9102.

How to Answer

Solve the question for MCQ No. and decide which option (A through D/E) is the best choice to answer the MCQ, then click/tap the blue button to view the correct answer and it explanation.

Share This Page